ロボットや航空機など実際のシステムを理論的に制御するには、運動方程式や電気回路方程式などを用いて、システムを数式で表さなければならない。システムを数式で記述することを「モデル化」という。ただ、実際にはシステムを正確に数式で記述することは極めて難しい。例えば、システムのある部分の摩擦係数が環境の温度により変化したり、システム中のある部分の質量が消耗により変化する。また、正確に測定できない部分がシステム中に存在することもある。このように、大なり小なり実際のシステムと数式の間にはモデル化誤差が現れる。しかし、モデル化誤差があっても、システムを、目的の状態に制御することが望まれる。これを達成する制御を「ロバスト制御」という。
では、ヘリコプターモデルを例にとって、具体的に説明しよう。
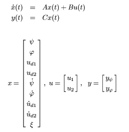
ヘリコプターの線形化システム方程式は以下の通りである。




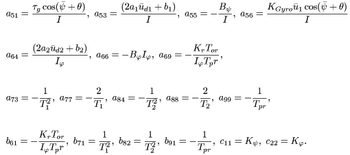
ここで、各変数、システムパラメータは以下の表の通りである。


実際には、システムパラメータは正確には同定できない。また外部の状況により変動する場合がある。したがって、Δを不確かさとすると、上記の行列A, B, Cの要素は、ai+Δai, bi+Δbi, ci+Δciのように表すことができる。例えば、 行列Aは


と書ける。ここで、行列H, Eは既知であり、不確かさの大きさを表現できる。したがって、システムパラメータに不確かさを含むシステムは以下のような方程式で記述される。
![]()
このような不確かさを含むシステムの二次安定化制御を考察する。以下に、ヘリコプタを用いた制御結果を示す(動画は下線をクリック)。仰角を水平方向(90度)の姿勢で制御することを目標としている。
●最適レギュレータ(不確かさを含まないとした場合の制御則)

不確かさを考慮していないため、目標値よりずれが生じていることがわかる。
●二次安定化制御(不確かさを考慮した制御則)

不確かさを考慮しているため、水平方向(90度)で安定している。

上記は、二次安定化と外乱抑制を考慮した場合の実験結果である。