電気回路TBおよび演習
メールには必ず氏名・学生番号を記入してください。さもなければ、迷惑フォルダに入り未広告メール・迷惑メールと同様に削除されることがあります。
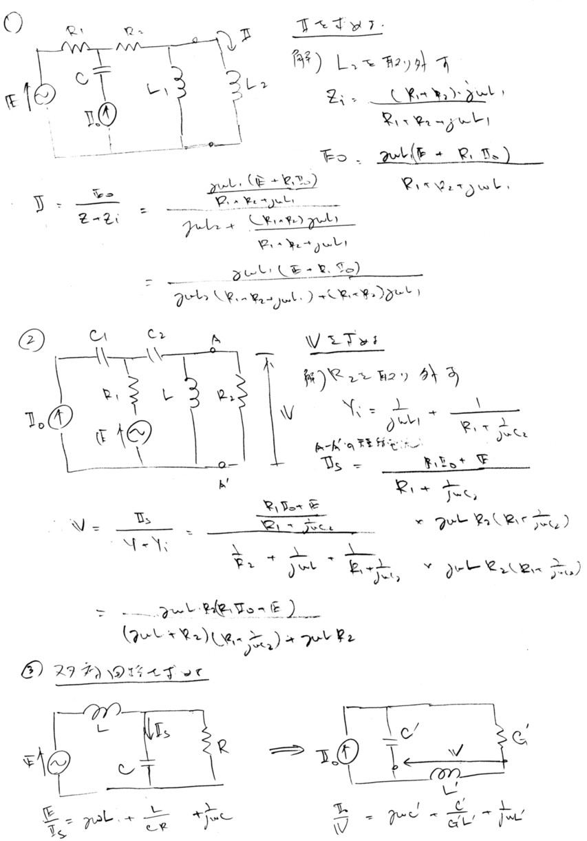
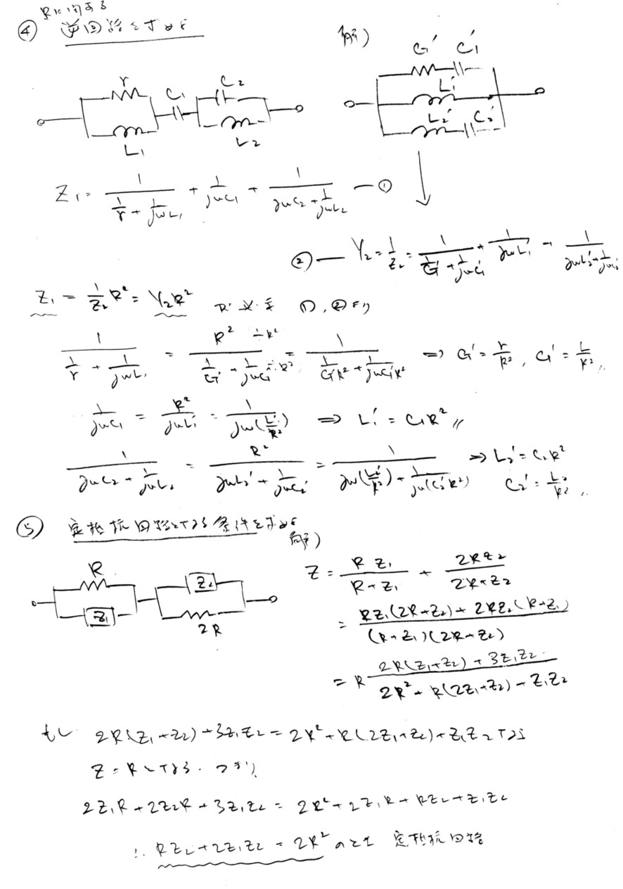
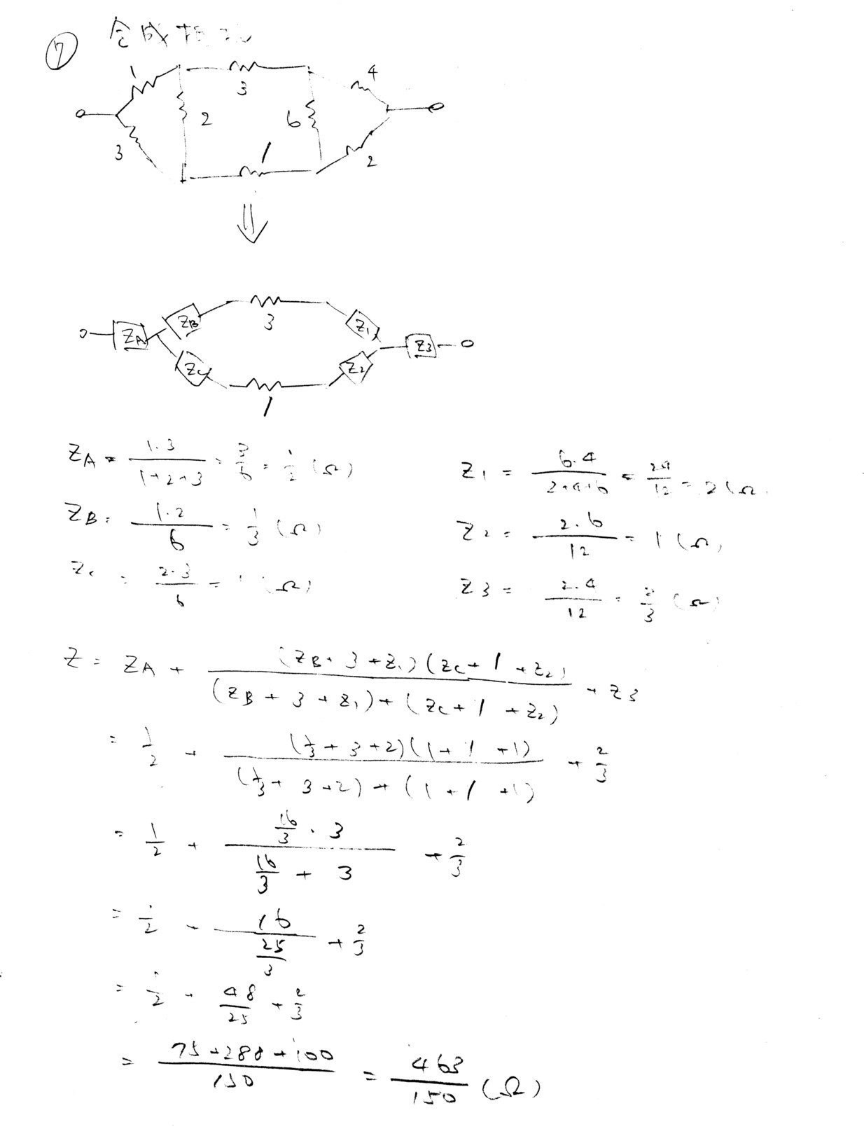
電気回路の演習問題を掲載しました。問題1、問題2、問題3、問題4。
以下に、電気回路の問題のリンクがあります。
自発的に解いてみてください。電気回路問題
2021年度授業予定(変更することもあるので注意)
|
日にち |
授業内容 |
講義のポイント・注意 |
演習レポート・テストの解答 |
| @ |
9月17日 |
§4.3相互誘導回路, |
・相互誘導回路 |
|
| A |
9月24日 |
§4.4ブリッジ回路 |
・ブリッジ回路と平衡条件 |
|
| B |
10月 1日 |
§4.5整合回路 |
・整合回路 |
|
| C |
10月 8日 |
§4.6共振回路 |
・共振回路 |
|
| D |
10月15日 |
§5.2鳳-テブナンの定理, |
・鳳-テブナンの定理の使い方 |
|
| E |
10月22日 |
§5.1重ねの理, §5.3ノートンの定理 |
・重ねの理
・ノートンの定理の使い方 |
|
| F |
11月 5日 |
§5.4補償の定理 |
・インピーダンスが変化した時の電圧・電流の変化量の求め方 |
|
| G |
11月12日 |
中間試験@ |
中間テスト@の範囲:§4.3〜5.1 |
|
| H |
11月19日 |
§5.5相反定理 |
・相反定理の意味について |
|
| I |
11月26日 |
§5.6双対の理 |
・双対性
・双対回路の求め方 |
|
| J |
12月 3日 |
§5.7定抵抗回路と逆回路 |
・逆回路の求め方 |
|
| K |
12月10日 |
§5.7定抵抗回路と逆回路 |
・定抵抗回路となるための条件 |
|
| L |
12月17日 |
中間試験A |
中間テストAの範囲:§5.2〜5.6 |
|
| M |
1月 7日 |
§5.8定電流回路と定電圧回路 |
・定電圧回路となるための条件
・定電流回路となるための条件 |
|
| N |
1月14日 |
§6.13相交流の対称起電力
§6.2Y結線とΔ結線 |
・線間電圧・相電圧・線電流の求め方
・Y-Δ変換と△-Y変換の公式 |
|
授業内容、試験などに関する質問は米山まで。ただし、氏名、学生番号は明記すること。